Introduction
Efficient stringing is crucial for optimizing the performance and energy yield of your PV system. This article details the various stringing types available in PVcase Roof Mount and how to configure them for your design, as well as important aspects to consider when doing so.
Stringing menu
After you have placed the inverter, it’s time to set up the Stringing of your system.
To start, click Stringing to open the menu.
Here you’ll find two sections with various configuration options:
- Setup
- String size
Stringing setup
Before choosing the stringing type you need to decide if you will be using optimizers. Optimizers maximize the modules’ output by independently tracking its performance, reducing losses from shading or mismatch, and enabling module-level monitoring and safety features.
If you do, you can select the option that best suits your needs:
- 1 optimizer per 2 modules: Works well for shade-free, uniform arrays where cost savings are a priority and modules are identical.
- 1 optimizer per module: Best for rooftops with shading, multiple module orientations, or when module-level monitoring and rapid shutdown are needed.
Stringing types
The next step would be to choose the stringing type that we want to use. PVcase provides four options for stringing:
- Single-row stringing: Best for simple, rectangular roofs—easy cabling and troubleshooting.
- U-stringing: Ideal for longer rows with a return path—minimizes cable runs on wide roofs.
- Snake stringing: Great for maximizing string length and tidiness on irregular or multi-row layouts.
- Custom stringing: Use when roof shapes or obstructions require a tailored approach—maximize flexibility for tricky roofs.
Once you’ve selected the Stringing type and String orientation, you can modify the rest of the parameters accordingly.
Single-row stringing
This stringing type will connect the modules in a row, according to specified directions up, down, left, and right.
U-stringing
This stringing type will connect the modules in a U shape, according to specified directions, horizontally or vertically.
Snake stringing
This stringing type maximizes the number of modules connected within strings by automatically connecting modules based on user-specified criteria like module count and pattern.
It combines three types of stringing: single row, U stringing, and zig-zag (snake stringing) patterns. Snake stringing prioritizes the creation of strings with the fewest jumps between rows.
Custom stringing
This stringing type allows you to draw the stringing according to your needs. When doing the stringing, a module counter will be displayed, indicating how many modules were already selected for the string.
Specifically in the case of East-West layouts, custom stringing allows you to automatically string the opposite sides for an East-West layout, by enabling the Mirror stringing for East-West modules option. With this feature turned on, when you string the East modules together, the West modules will automatically be strung together if we find the same (or more) number of corresponding modules.
To create a custom string:
- Click on String modules
- Left-click on the modules to start drawing the string
- Click Space or Enter on your keyboard to finalize the string
In addition, you can create a custom stringing pattern and use it to fill a selected area, in just a few steps:
- Select Custom as a stringing type and click String modules to define a pattern
- Select the specific area where you want to apply the custom pattern
- From the context menu, select the Fill area with pattern command
The system will fill the designated area using all available strings. However, partial patterns are omitted if insufficient space is available, and strings are not placed if modules are absent. This gives you greater control and flexibility in designing layouts.
String size
You can get an automatic string size recommendation based on your project’s location and the selected module and inverter combination. You can do that in the Settings menu, the Component library and the Electrical design menu.
- Set project location in Settings, to get min and max temperatures. The minimum and maximum temperature will be pulled from historical data through PVGIS. The module’s min and max voltages will be calculated according to the weather data.
- Add a module with electrical parameters to the Component library:
- Voltage at maximum power (Vmpp)
- Open circuit voltage (Voc)
- Voc temp coefficient
These are mandatory fields if you would like to get the recommended string limits.
- Add an inverter with electrical parameters to the Component library:
- Min MPPT input voltage (Vmpp)
- Max MPPT input voltage (Vmpp)
- Max input voltage (Vmax)
- Select Yes or No to Max string size by the Inverter’s Vmax, based on your preference:
- If you select Yes: Max Input Voltage (Vmax) is used for the max string size
- If you select No: Max MPPT input (Vmpp) voltage is used for the max string size
- Select the module and inverter combination: The drop down list includes the modules and inverters present in the drawing. Select the components you’d like to use to get the recommended string size.
Recommended string size range calculation
The recommended range depends on whether you have selected the Inverter’s Vmax as the reference for the maximum string size or not. We use different formulas to calculate the recommendation in each scenario, as shown below:
Scenario 1 – Inverter’s Vmax not selected
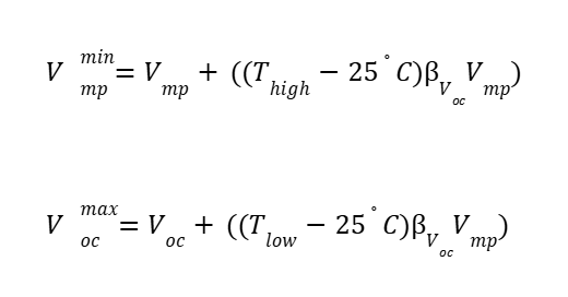
If you haven't selected the Inverter's Vmax for string size limit calculations:
- We calculate module voltages based on project location
-
We calculate the recommended string size
Scenario 2 – Inverter’s Vmax selected
If you have selected the Inverter's Vmax for string size limit calculations:
- We calculate module voltages based on project location, and Voc is used to calculate the module’s max voltage
- Calculate the recommended string size limits, where the max string size is calculated with the inverter’s Vmax (Max Input Voltage)
String modules or PV areas
After all parameters are defined, select one of the two options:
- String modules to string specific modules
- String PV area(s) to string the whole PV area
For example, after selecting the Single-row stringing option, you can string PV areas:
- Click the String PV area(s) button
- Select the PV area boundary line
- Press Space or Enter to finalize
Unstrung modules
After the stringing is finished, you might still have some unstrung modules that will be colored red. If you want to string them, you have the following options to choose from:
- Use Custom stringing
- Adjust string size, string jump, or stringing type and try again
- Delete the unstrung modules.
You can also combine several patterns on the same drawing by applying different stringing types.
Let’s apply a Single-row stringing pattern first:
- Click the String PV area(s) button
- Select the PV area boundary line
- Press Space or Enter
There are a lot of modules that could be covered using Snake stringing:
From the drop-down menu, select Snake.
- Click the String PV area(s) button
- Select the PV area boundary line
- Press Space or Enter
- In the pop-up window, select Apply for unstrung to add the new stringing to the unstrung modules
Destring modules or PV areas
If you need to remove strings:
- Click the Destring button
- Select the modules or PV area boundary line
- Press Space or Enter on your keyboard
The strings will be removed.